Hazardous Chemical Substances Regulations, 1995. Annexure 2

Calculation of exposure with regard to the specified reference periods

This Annexure reproduces the approved method for the calculation of exposure in relation to the 8-hour, short-term and one-year reference periods.

1. THE 8-HOUR REFERENCE PERIOD

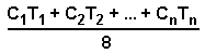
1.1. The term '8-hour reference period' relates to the procedure whereby the occupational exposures in any 24-hour period are treated as equivalent to a single uniform exposure for 8 hours [the 8-hour time weighted average (TWA) exposure].

1.2. The 8-hour TWA may be represented mathematically by:

where C1 is the occupational exposure value (concentration) and T1 is the associated exposure time in hours in any 24-hour period.

Examples:

a. The operator works for 7h20 min. on a process in which he is exposed to a substance hazardous to health. The average exposure during that period is measured as 0.12 mg/m³.

The 8-hour TWA therefore is: 7h20min (7.33 hr) at 0.12 mg/m³, and 40 minutes (0.67 hr) at 0 mg/m³.

b. The operator works for eight hours on a process in which he is exposed to a substance hazardous to health. The average exposure during that period is measured as 0,15mg/m³.

c. Working periods may be split into several sessions for the purpose of sampling to take account of rest and meal breaks, etc. This is illustrated by the following example:

Working period Exposure {mg/m³) Duration of sampling (h)
08:00 - 10:30 0.32 2.5
10:45 - 12:45 0.07 2
13:30 - 15:30 0.2 2
15:45 - 17:15 0.10 1.5

Exposure is assumed to be zero during the period 10:30 to 10:45, 12:45 to 13:30 and 15:30 to 15:45.

The 8-hour TWA therefore is -

d. An operator works for eight hours during the night shift on a process in which he is intermittently exposed to a substance hazardous to health. The operators work pattern during the working period should be known and the best available data relating to each period of exposure should be applied in calculating the 8-hour TWA. This data should be based on direct measurement, estimates based on data already available or reasonable assumptions.

Working period Task Exposure (mg/m³)
22:00 - 24:00 Helping in workshop 1.    10 (known to be the exposure of full-time group in the workshop)
24:00 - 01:00 Cleaning elsewhere in factory 0 (assumed)
1.00 - 04:00 Working in canteen 0 (assumed)
04:00 - 06:00 Cleaning up after breakdown in workshop 0.21 (assumed)

The 8-hour TWA therefore is -

2. THE SHORT-TERM REFERENCE PERIOD

Exposure should be recorded as the average over the specified short-term reference period and should normally be determined by sampling over that period.

Example where the short-term reference period is 15 minutes.

a. Exposure period is less than 15 minutes

The sampling result should be averaged over 15 minutes. For example, if a 5-minute sample produces a level of 600 ppm and is immediately followed by a period of zero exposure, then the 15-minute average exposure will be 200 ppm:

b. Exposure period is 15 minutes or longer

Measurements should be taken over a 15-minute period and the result is the 15-minute average exposure. Measurements for periods greater than 15 minutes should not be used to calculate a 15-minute average exposure, but if the average exposure over the longer period exceeds the 15-minute exposure limit, then this limit must have been exceeded over some 1 5-minute period.

3. THE ONE-YEAR REFERENCE PERIOD FOR VINYL CHLORIDE

Exposure should be recorded as the time-weighted average of vinyl chloride in the atmosphere of a work-ing area over a period of one year. At enclosed vinyl chloride polymerisation plants, continuous or permanent sequential sampling methods must be used. Where discontinuous measurements are made, the frequency of measurements and the number per year should be such that it is possible to state with a statistical confidence coefficient of at least 95% that the true mean annual concentration did not exceed the annual maximum exposure limit. Only periods of plant operation including, where necessary, maintenance time should be taken into account.